Category Archives: MA 1505 Mathematics I
MA 1505 Formula List
https://zh.scribd.com/doc/114003589/MA1505-Summary
MA1505 Summary
More info:
Prediction of Final Exam 2014-2015 Semester I
Module: MA 1505 Mathematics I
Time: 2 hours ( 120 minutes ), Saturday, 22-Nov-2014 (Morning)
Questions: 8 questions, each question contains two questions. i.e. 16 questions.
Average speed: 7.5 minutes per question.
Scores: 20% mid-term exam, 80% final exam. i.e. Each question in the final exam is 5%.
Remark: Another Possibility: 5 Chapters, each chapter contains 1 big question, and each question contains three small questions, i.e. 15 questions. 8 minutes per question.
The contents in high school:
Trigonometric functions, some basic inequalities and identities.
The contents before mid-term exam: Please review the details of them.
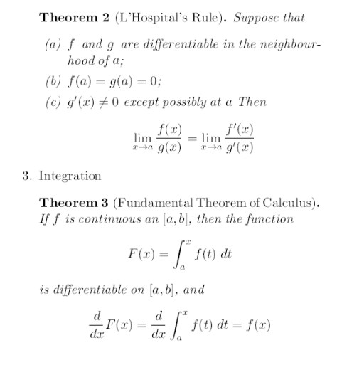
Chapter 2: Differentiation
Derivatives of one variable functions, derivatives of parameter functions, Chain rule of derivatives, the tangent line of the curve, L.Hospital Rule, critical points of one variable, local maximum and local minimum of one variable function.
Chapter 3: Integration
Integration by parts, Newton-Leibniz Formula, the area of the domain in the plane, the volume of the solid which is generated by a curve rotated with an axis.
Chapter 4: Series
Taylor Series and Power Series, radius of convergence of power series, the convergence domain of power series, the sum of geometric series and arithmetic series.
Chapter 5: Three Dimensional Spaces
Cross Product and Dot Product of vectors, projection of vectors, the equation of the plane and the line in 3-dimensional space, Distance from a point to a plane, Distance from a point to a line, the distance between two lines in two or three dimensional spaces, the distance between two parallel planes. Intersection points of two different curves.
The contents after mid-term exam: Must prepare them.
By the way, 2-3 questions means at least 2 questions, at most 3 questions. 0-1 question means 0 question or 1 question.
Geometric Graphs in Three Dimensional Space:
infinite paraboloid
hyperbolic paraboloid
sphere with radius
and center
cylinder
Plane
Parabola
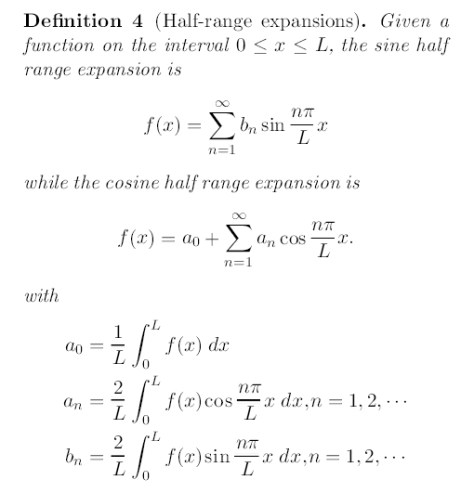
Chapter 6: Fourier Series:
Fourier Coefficients of functions with period : 1 question. Especially,
and
(Integration by parts).
Fourier Coefficients of functions with period : 1 question, where
is a positive real number. Especially,
and
(Integration by parts).
Calculate the summation of Fourier coefficients: 0-1 question. Especially, and
.
Cosine and sine expansion of function on the half domain: 1 question.
Chapter 7: Function of Several Real Variables
Directional derivatives, partial derivatives, gradient of functions with two or three variables, Chain Rule of partial derivatives: 1-2 questions. (Pay attention to whether the vector is a unit vector or not. If it is not a unit vector, you should change it to a unit vector first, and then calculate the directional derivatives).
Critical points of two variable functions (saddle point, local maximum, local minimum): 0-1 question. (Calculate the partial derivatives first, then evaluate the critical points, so we can decide the property of the critical points from some rules).
Lagrange’s method: 0-1 question. (Calculate the maximum value of functions under some special conditions. Construct the function first, evaluate partial derivatives secondly, and calculate the critical points of the new functions. In addition, if you use inequality “arithmetic mean” is greater than “geometric mean”, then the question will become easier.)
Chapter 8: Multiple Integral
Double integral, polar coordinate: 1 question. (The formula of polar coordinate in the plane).
Reverse the order of integration of double integral: 1 question. (Draw the picture of domain and reverse the order of dx and dy).
Volume of the solid: 1 question. (Double integral, find the function and the domain
on the
plane. If the domain
is a disk or a sector, then you can use the polar coordinate).
Area of the surface: 1 question. (Partial Derivatives of functions with two variables, the domain on the
plane. If the domain
is a disk or a sector, then you can use the polar coordinate. The area of a surface is a special case of the surface integral of a scalar field).
Triple integral: 0-1 question. (The method to calculate the triple integral is similar to double integral).
Chapter 9: Line Integrals
Length of a curve: 0-1 question. (Parameter equation of the curves. Length of a curve is a special case of line integral of a scalar field).
Line integrals of scalar fields: 1 question. (The equation of line segment, the equation of the circle with radius , the length of vectors). Geometric meaning: the area of the wall along the curve.
Line integrals of vector fields: 1 question. (The equation of line segments, the equation of the circle with radius , Dot product of vectors). Physical meaning: Work done.
Conservative vector fields and Newton-Leibniz formula of gradient vector fields: 0-1 question. (Definition of conservative vector field and its equivalent condition. When the value of a line integral of vector field is independent to the curve , where
has the fixed initial point and the terminal point?).
Green’s Theorem: 1 question. (Two cases: the boundary is open; the boundary is closed. If the curve is open, you should close it by yourself.) Pay attention to the orientation, i.e. anticlockwise and left hand rule.
Chapter 10: Surface Integrals
Tangent plain of a surface: 0-1 question. (Partial derivatives, Cross product of two vectors, Normal vector of a plane)
Surface integrals of scalar fields: 1 question. (The equation of surface and the projection of the surface on the
plane, Cross product of vectors, the length of vectors. Change the surface integrals of scalar fields to double integrals).
Surface integrals of vector fields: 1 question. (The equation of surface and the projection of the surface on the
plane, Cross product and Dot product of vectors).
Stokes’ Theorem: 1 question. (This is a rule on line integrals of vector fields and surface integrals of vector fields. Remember the operator . Pay attention to the orientation of the curve on the boundary, i.e. the right hand rule).
Divergence Theorem: 0-1 question. (This is a rule on surface integrals of vector fields and triple integrals. Remember the operator ).
Prediction of Middle Term Test
Module: MA 1505 Mathematics I
Time: 1 hours ( 60 minutes )
Questions: 10 Multiple Choice Questions.
Average speed: 6 minutes per question.
Scores: 20% in final score.
The contents in high school:
Trigonometric functions, some basic inequalities and identities.
Questions in middle term test:
Question 1. Derivatives, Tangent line of a function, Intersection point of tangent line and x-axis, y-axis. Basic Rules of differentiation, Chain Rule.
Question 2. Critical points of a function, how to calculate the maximum and minimum value of a function.
Question 3. Integration by parts, integrate trigonometric functions.
Question 4. Fundamental theorem of calculus.
Question 5. Find the area which is bounded by some curves.
Question 6. Mathematical models. ( e.g. light and ball drop, ship and so on).
Question 7. Radius of convergence of a power series, the interval of convergence of a power series.
Question 8. Calculate the Taylor series of functions, Calculate the coefficients of Taylor series.
Question 9. How to use Taylor series to calculate the solution of an equation.
Question 10. How to use Taylor series to calculate the summation of some series. ( Integration and differentiation).
Question 11. The length of a curve, the tangent line of a curve.
Question 12. Dot product and cross product of two vectors, equation of planes, normal vector of a plane, distance between a point and a plane.
MA 1505 Tutorial 1: Derivative
Definition of Derivative:
Rule: Assume f(x) and g(x) are two differentiable functions, the basic rules of derivative are
Definition of Critical Point: is called a critical point of f(x), if
If on some interval I, then f(x) is increasing on the interval I. Similarly, if
on some interval I, then f(x) is decreasing on the interval I.
Tangent Line: Assume f(x) is a differentiable function on the interval I, then the tangent line of f(x) at the point is
where
is the slope of the tangent line.
Derivative of Parameter Functions: Assume y=y(t) and x=x(t), the derivative is
because the Chain Rule of derivatives.
Question 1. Calculate the tangent line of the curve at the point (16,16).
Method (i). Take the derivative of the equation at the both sides, we get
Assume x=y=16, we have the derivative That means the tangent line of the curve at the point (16,16) is y-16=-(x-16). i.e. y=-x+32.
Method (ii). From the equation, we know , then calculating the derivative directly. i.e.
Therefore,
Method (iii). Making the substitution then (16,16) corresponds to
From the derivative of the parameter functions, we know
If we assume then
Method (iv). Geometric Intuition. Since the equation is a symmetric graph with the line y=x, and (16,16) is also on the symmetric line. Therefore, the slope of the curve at the point (16,16) is -1. Hence, the tangent line is y=-x+32.
Question 2. Let and
Find dy/dx and express your answer in terms of
Method (i). ,
Method (ii).
Prediction of Final Exam 2013-2014 Semester I
Module: MA 1505 Mathematics I
Time: 2 hours ( 120 minutes )
Questions: 8 questions, each question contains two questions. i.e. 16 questions.
Average speed: 7.5 minutes per question.
Scores: 20% mid-term exam, 80% final exam. i.e. Each question in the final exam is 5%.
Remark: Another Possibility: 5 Chapters, each chapter contains 1 big question, and each question contains three small questions, i.e. 15 questions. 8 minutes per question.
The contents in high school:
Trigonometric functions, some basic inequalities and identities.
The contents before mid-term exam: Please review the details of them.
Chapter 2: Differentiation
Derivatives of one variable functions, derivatives of parameter functions, Chain rule of derivatives, the tangent line of the curve, L.Hospital Rule, critical points of one variable, local maximum and local minimum of one variable function.
Chapter 3: Integration
Integration by parts, Newton-Leibniz Formula, the area of the domain in the plane, the volume of the solid which is generated by a curve rotated with an axis.
Chapter 4: Series
Taylor Series and Power Series, radius of convergence of power series, the sum of geometric series and arithmetic series.
Chapter 5: Three Dimensional Spaces
Cross Product and Dot Product of vectors, projection of vectors, the equation of the plane and the line in 3-dimensional space, Distance from a point to a plane, Distance from a point to a line, the distance between two lines in two or three dimensional spaces, the distance between two parallel planes. Intersection points of two different curves.
The contents after mid-term exam: Must prepare them.
By the way, 2-3 questions means at least 2 questions, at most 3 questions. 0-1 question means 0 question or 1 question.
Geometric Graphs in Three Dimensional Space:
infinite paraboloid
hyperbolic paraboloid
sphere with radius R and center
cylinder
Plane
Parabola
Chapter 6: Fourier Series:
Fourier series, Parseval’s identity: 2-3 questions. ( Integration by parts, calculate the sum of Fourier coefficients, period 2L functions ( where L is a positive real number), calculate the value of some special series from Fourier series, cosine expansion and sine expansion of function on the half domain).
Chapter 7: Multiple Variable Functions
Directional derivatives, partial derivatives, gradient of functions with two or three variables, Chain Rule of partial derivatives: 1-2 questions. (Pay attention to whether the vector is a unit vector or not. If it is not a unit vector, you should change it to a unit vector first, and then calculate the directional derivatives).
Critical points of two variable functions ( saddle point, local maximum, local minimum): 0-1 question. ( Calculate the partial derivatives first, then evaluate the critical points, so we can decide the property of the critical points from some rules).
Lagrange’s method: 0-1 question. ( Calculate the maximum value of functions under some special conditions. Construct the function first, evaluate partial derivatives secondly, and calculate the critical points of the new functions. In addition, if you use inequality “arithmetic mean” is greater than “geometric mean”, then the question will become easier.)
Chapter 8: Multiple Integration
Double integration, polar coordinate: 1 question. ( The formula of polar coordinate in the plane).
Reverse the order of integration of double integration: 1 question. ( Draw the picture of domain R and reverse the order of dx and dy).
Volume of the solid: 1 question. ( Double integrals).
Area of the surface: 1 question. ( Partial Derivatives of two variable functions, Polar Coordinate).
Chapter 9: Line Integrals
Length of the curve: 0-1 question. ( Parameter equation of the curves).
Line integrals of scalar fields: 1 question. ( The equation of line segment, the equation of the circle with radius R, the length of vectors). Geometric meaning: the area of the wall along the curve.
Line integrals of vector fields: 1 question. ( The equation of line segments, the equation of the circle with radius R, Dot product of vectors). Physical meaning: Work done.
Conservative vector fields and Newton-Leibniz formula of gradient vector fields: 0-1 question. ( Definition of conservative vector field and its equivalent condition).
Green’s Theorem: 1 question. ( Two cases: the boundary is open; the boundary is closed. If the curve is open, you should close it by yourself.) Pay attention to the orientation, i.e. anticlockwise.
Chapter 10: Surface Integrals
Tangent plain of a surface: 0-1 question. ( Partial derivatives, Cross product of two vectors, Normal vector of a plane)
Surface integrals of scalar fields: 1 question. ( The equation of surface, Cross product of vectors, the length of vectors).
Surface integrals of vector fields: 1 question. ( The equation of surface, Cross product and Dot product of vectors).
Stokes’ Theorem: 1 question. ( Pay attention to the orientation).
Divergence Theorem: 0-1 question. ( Triple integrals).
MA 1505 Tutorial 11: Surface Integral, Divergence Theorem and Stokes’ Theorem
Surface Integrals of Scalar Fields: Assume is a function,
is a surface S. Then the surface integral is
where the left hand side is the surface integral of the scalar field and the right hand side is the multiple integration. denotes the cross product between
and
,
denotes the length of the vector
Remark. If for all
, and
is a surface, then
the left hand side is
the right hand side is , since
and
the cross product
That means:
Surface Integrals of Vector Fields:
Imagine that we have a fluid flowing through , such that
determines the velocity of the fluid at
. The flux is defined as the quantity of fluid flowing through
per unit time.
This illustration implies that if the vector field is tangent to at each point, then the flux is zero, because the fluid just flows in parallel to
, and neither in nor out. This also implies that if
does not just flow along
, that is, if
has both a tangential and a normal component, then only the normal component contributes to the flux. Based on this reasoning, to find the flux, we need to take the dot product of
with the unit normal vector to
at each point, which will give us a scalar field, and integrate the obtained field as above.
Assume is a vector field,
is a surface S. Then the surface integrals of the vector field F is
The left hand side is the surface integral of vector field and the right hand side is the surface integral of scalar function, since is a scalar function. That means,
Divergence Theorem (Gauss’s theorem or Ostrogradsky’s theorem)
This theorem is a result that relates the flow (that is, flux) of a vector field through a surface to the behavior of the vector field inside the surface. More precisely, the divergence theorem states that the outward flux of a vector field through a closed surface is equal to the volume integral of the divergence over the region inside the surface. Intuitively, it states that the sum of all sources minus the sum of all sinks gives the net flow out of a region.
where is a bounded domain and
is a vector field.
Stokes’ Theorem
where is a vector field.
is a compact surface and
is the boundary of
The curve
has the positive orientation, that means following the right hand rule.
MA 1505 Tutorial 9 and 10: Line Integral and Green’s Formula
Line integral of a scalar field:
Assume is a smooth function,
where is the domain of
.
where is a smooth curve.
Line integral of a vector field:
Assume is a smooth vector function,
where is a smooth curve.
Green’s Formula:
Assume is a vector field,
where is the domain and
denotes the boundary of
The orientation of
satisfies the left hand rule. That means if you walk along the boundary of
, the domain
must be on your left.
is a simply connected region with boundary consisting four boundaries
, the orientation is counterclockwise.
In the first graph, which denotes the boundary of
has only one closed curve
and the orientation of
is counterclockwise. However, in the second graph,
contains two curves, i.e. the blue one and the red one. The orientation on the blue one which is the outer boundary of
is counterclockwise, the orientation on the red one which in the inner boundary of
is clockwise. That means if you walk along the boundary of
, the domain
must be on your left. This is the left hand rule.
Corollary of Green’s Theorem
Assume is a domain in the plane,
denotes the area of
, then the area can be calculated from the following formulas:
Fundamental Theorem of Line Integral:
where denotes a curve from initial point to terminal point and
is a scalar field.
Conservative Vector Field:
1. is called a conservative vector field, if there exists a scalar field
such that
. It is equivalent to these conditions:
.
2. is called a conservative vector field, if there exists a scalar field
such that
. It is equivalent the condition
Path Independence:
A key property of a conservative vector field is that its integral along a path depends only on the endpoints of that path, not the particular route taken.
For example, if or
is a conservative vector field, then the value of the line integral
depends only on the initial point and terminal point of the curve
. That means if
is a conservative vector field, the curves
and
have the same initial points and terminal points, then these two line integrals are equal:
. For this reason, a line integral of a conservative vector field is called path independent.
Question 1. For each non-zero constant , let
denote the curve
, where
Let
Find the minimum value of in the domain
Solution.
Method (i). Use the definition of line integration.
Since ,
,
,
Since
we get
on
.
.
The minimum value is taken at the
Method (ii). Use Green’s Formula.
Consider the domain bounded by
and
and
i.e.
From Green’s Formula, pay attention to the orientation,
Therefore,
The derivative of is
the minimum value is taken at
and
Question 2. Prove the area of the disc with radius R is .
Solution.
Method (i). Definition of Integration.
Method (ii). Green Formula
For on
where
Question 3. Prove the area of the ellipse is
.
Solution. It is similar to Question 2, and
Question 4. Calculate
where consists two line segments:
from (0,0,0) to (1,0,2), and
from (1,0,2) to (3,4,1).
Solution.
Method (i). From the definition of line integral,
Method (ii). Check the vector field is a conservative vector field. Since
Therefore, is a conservative vector field, and we can assume
, i.e.
Hence,
for some constant
Therefore, the answer is
Question 5. Evaluate
where C denotes the boundary with positive orientation of the region between the circles and
with
Solution.
Method (i). The definition of the line integral.
On circle it is counterclockwise,
is from 0 to
On circle it is clockwise,
is from
to 0.
On the circle ,
Pay attention to the orientation, we get the answer is
Method (ii). Green’s Theorem.
MA 1505 Tutorial 8: Surface Area and Volume
Assume is a surface on
, the domain
is the projection of the surface
on
plane. Then the area of the surface is
where and
are partial derivatives of
with respect to the variable
and
respectively.
If a surface is and the projection of it on
plane is
, then the volume bounded by
plane and the surface
is
Theorem 1.
The surface area of the sphere with radius is
The volume of the sphere with radius is
Proof. The equation of the sphere with radius is
First we calculate the surface area of sphere.
Assume the function
Then
Therefore
The surface area of half-sphere is
Hence, the total surface area of the sphere with radius is
Second, we calculate the volume of the sphere with radius
Theorem 2. The volume of the ellipsoid is
Proof.
The upper bound of the volume is
The lower bound of the volume is
Assume the volume of the ellipsoid is
where we use the substitution and
the determinant of Jacobian matrix is
Therefore, the value equals to
MA 1505 Tutorial 2: Integration
L.Hospital Rule: if the ratio is or 0/0, then we can use the L.Hospital Rule to calculate the limit. Precisely, the L.Hospital Rule is
where a is a finite real number or infinity.
If f(x) is a continuous function, then is a differentiable function and its derivative
.
General Leibniz Integration Rule.
Question 1. Calculate the value .
Solution.
Therefore
Hence, .
Question 2. Calculate the value .
Solution.
Therefore, .
Question 3.
Solution.
Therefore,
Question 4.
where y=1/x.
where a>0.
MA 1505 Exam Paper for Semester 2
MA 1505 Tutorial 3: Taylor Series
The Taylor Series of f(x) at the point is
Question 1. Let . Calculate the value of S.
Solution.
Method (i).
Method (ii). Integrate the Taylor series of to show that S=1.
The Taylor series of is
. Take the integration of the function on the interval [0,1], we get
.
The left hand side equals to 1 from integration by parts.
Method (iii). Differentiate the Taylor series of .
The Taylor series of is
. Differentiate f(x) and get
. Moreover,
and
.
Method (iv). Assume the function This implies f(0)=0. Assume
Since we get
That means f(1)=1.
Method (v). Assume the function
Therefore, f(1)=1.
Remark. There is a similar problem: calculate Answer is
Question 2. Let n be a positive integer. Prove that
and calculate the value of the summation
.
Solution.
.
To calculate the value of S, there are two methods.
Method (i). The summation of S, n is only taken odd numbers. From the first step, we know the summation
.
Method (ii).
Since ,
.
Here we use the Taylor series of and
.
Question 3. Assume
Prove
Proof.
Question 4. Calculate the summation
Solution.
MA 1505 Tutorial 7: Integration of Two Variables Functions
In the tutorial 7, we will learn to calculate the integration of two variables, reverse the order of integration and polar coordinate.
The formulas of polar coordinate are ,
, where
and
.
Question 1. The application of polar coordinate. Calculate the value of
Solution.
Method (i).
.
Therefore
.
Hence .
Method (ii).
Since , we get
Assume y=sx, we get
Therefore,
Question 2. Calculate the value of
Solution.
Method (i). Leibniz Integration Rule.
Here denotes the partial derivative of
with respect to the variable
.
In the question, assume .
Making use of L’Hospital Rule, we have
Method (ii). Reverse the order of integration.
The integration domain is and
. It is same as
and
.
.
Question 3. MA1505 2010-2011 Semester 2, Question 6(b).
Let R be a region of xy-plane, find the largest possible value of the integration
Solution.
Since we want to find the largest possible value, then we must guarantee that on the region R, the function is non-negative. That means the region R is
. i.e.
. Therefore, we should calculate the integration
Question 4. is a real interval, calculate the maximum value of
Solution.
To calculate the maximum value of the integration, the maximal interval Therefore, the maximum value of the integration is
Qustion 5. Calculate the multiple integration
Solution.
Method (i). Use the polar coordinate.
Method (ii). Make the substitution , then
The region is and
That is equivalent to and
The integration is
MA 1505 Tutorial 6: Partial Derivatives and Directional Derivative
In the tutorial, we will learn the partial derivatives for multiple variable functions.
Assume is a two variable function, then we use the notations to describe the partial derivatives of
denotes the partial derivative of f under the variable x.
denotes the partial derivative of f under the variable y.
Similarly, we can also define the second derivative of
,
.
Assume is a unit vector, i.e. its length is 1. If
is
at the point p, then we can define the directional derivative of
at point p as
Theorem 1. Geometric mean is not larger than Arithmetic mean.
For n positive real numbers ,
“=” if and only if
Theorem 2. Cauchy’s Inequality.
For 2n real numbers ,
“=” if and only if
Proof.
Method (i). Construct a non-negative function f(x) with respect to variable x
Consider the equation f(x)=0, there are only two possibilities: one is the equation f(x)=0 has only one root, the other one is the function has no real roots. Therefore,
Hence,
Moreover, if “=”, then f(x)=0 has only one root , i.e. for all
,
. That means
By the way, the solution of is
and
Method (ii). Since , we know
for all
Assume , for all
,
Take the summation at the both sides,
Question 1. Assume is a
function and
.
satisfies the partial differential equation
Prove
(1) is a function of y.
(2) is a function of x.
(3) The solution of has the form
for some function
and
.
Proof.
(1) Method (i) Make use of derivative.
First, we know . Second, take the partial derivative of the function with respect to the variable x. That means,
from the partial differential equation. Therefore, the function
is independent of the variable x. i.e. the function is a function of variable y.
Method (ii) Make use of integration.
Since ,
, then we take the integration of x at the both sides,
, the left hand side is
, the right hand side is
for some function
That means,
. and
is a function of
.
(2) is similar to (1).
(3) From part (1), we know is a function of y. Assume
. Take the integration of y at the both sides, we have
for some function
for some functions
and
Question 2. Assume
and
are non-negative. Find the maximum value of
.
Solution.
Method (i). Langrange’s Method.
Take three partial derivatives of g,
Solve these three equations, we get and
, therefore the maximum value is taken at
and
Method (ii). Change to one variable function.
Since L+K=150, we can define the one variable function
The derivative of
The critical point is The maximal value of g(L) is taken at
Method (iii). Mathematical Olympic Method.
Use the fact that the geometric mean is not larger than the arithmetic mean.
.
The maximum value is taken at i.e.
Question 3. Assume and
are non-negative variables.
. Find the maximum value of
Solution.
Method (i). Langrange’s Method
Take four partial derivatives of the critical point is taken at
i.e. the maximum value of f(x,y,z) is taken at
Method (ii) Math Olympic Method
The maximum value is taken at , i.e.
Question 4. 2012 Exam MA1505 Semester 1, Question 3(a)
Assume has continuous partial derivatives of all orders, if
Find the value of the constant
Solution.
Method (i) Use derivatives.
Since has continuous partial derivative of all orders,
Since and
we have
This implies i.e.
Method (ii). Use integration.
Comparing them, we know
and
where
and
are constants.
Therefore
MA 1505 Tutorial 5: Fourier Series
In this tutorial, we will learn how to calculate the Fourier series of periodic functions.
Assume is a periodic function with period
, i.e.
for all
. The Fourier Series of
is defined as
where
for all
for all
Theorem 1. If satisfies Lipchitz condition on
, then
Theorem 2. Parseval’s Identity.
Question 1. Assume for all
and
on
What is the value of
Solution. From Theorem 1, on
. Therefore,
and
. Hence,
Question 2. Prove these identities:
Solution.
Choose the function on
and f(x) is a periodic function with period
.
Use the formulas of and
, we can prove that the Fourier series of
is
From Theorem 1, take , then
Therefore, .
Assume , we get
.
Therefore .
From Parserval’s identity, we know
Therefore .
Assume , we get
Therefore, .



























