我们用科普的角度来聊聊“一维动力系统”(One-Dimensional Dynamics)。
想象一下,你有一个非常简单的规则,这个规则告诉你:根据一个点当前的位置,如何确定它下一刻的位置。然后你不断地、一遍又一遍地应用这个规则。研究这个点在“时间”(可以理解为迭代次数)推进下如何运动、最终会去哪里、系统整体会表现出什么性质的学问,就是动力系统理论。
当这个点只能在一条线上移动时(比如一条无限长的数轴,或者一个首尾相接的圆圈),我们研究的系统就叫做一维动力系统。

为什么研究“一维”?
- 简单但深刻: 一维是维度最低的情况,规则相对简单,更容易分析和理解。但别小看它,即使是最简单的一维规则,也能产生极其复杂和令人惊讶的行为(比如混沌)。
- 基础性: 理解了一维系统的行为,是理解更高维(二维、三维甚至无穷维)更复杂系统的基础。很多高维系统中的核心思想和现象(如混沌、分形、吸引子)都能在一维模型中找到原型或被深刻理解。
- 应用广泛: 虽然模型简单,但一维动力系统可以用来描述很多实际现象的简化模型,比如:
(1)种群增长: 今年昆虫的数量决定了明年的大致数量(考虑环境承载力的限制)。
(2)简单物理过程: 单摆的近似运动(在小角度时)。
(3)经济模型: 简单的市场供需关系演化。
(4)信号处理: 某些反馈机制。

一维动力系统的核心要素:
- “舞台”: 点运动的空间。主要分两类:
- 区间: 比如一条线段
[0, 1]。点不能跑出这个范围。 - 圆周: 像一个环
S¹。点跑出“右边界”会从“左边界”回来(反之亦然)。想象一个圆盘边缘的点。
2. “规则”: 一个函数 f(x)。它定义了如何根据当前点 x 的位置,计算出下一个点 x_{n+1} = f(x_n)。这个函数通常是连续的,有时甚至是光滑的(可导的)。
3. “演员”: 一个初始点 x₀。
4. “剧情”: 点运动的轨迹 x₀, x₁ = f(x₀), x₂ = f(x₁) = f(f(x₀)), x₃ = f(f(f(x₀))), ...。这个序列 {x₀, x₁, x₂, ...} 称为轨道。
研究什么?关键问题:
- 不动点: 有没有点
x*满足f(x*) = x*?这个点就像“黑洞”,一旦到达就永远停在那里。它是系统最简单的稳定状态。 - 周期点: 有没有点
x_p满足f(f(...f(x_p)...)) = x_p(应用k次后回到自身)?这样的点会产生一个循环往复的轨道(x_p, f(x_p), f²(x_p), ..., f^{k-1}(x_p), x_p, ...),称为周期k轨道。这代表了系统的周期性行为。 - 吸引子: 大多数初始点的轨道最终会趋向于什么样的状态?是一个不动点?一个周期轨道?还是一个更复杂的、永不重复但被限制在某个区域的集合(混沌吸引子)?吸引子代表了系统长期行为的模式。
- 对初始条件的敏感性(蝴蝶效应): 这是混沌的核心特征。两个非常非常接近的初始点
x₀和y₀,经过多次迭代后,它们的轨道{x_n}和{y_n}会分道扬镳,变得毫无关系吗?如果系统具有这种性质,那么长期预测就变得极其困难。 - 拓扑共轭: 两个看起来不同的规则
f(x)和g(x),是否本质上描述了相同的动力学行为?就像一个故事用中文和英文讲述,情节一样,只是语言不同。找到这种“等价关系”有助于对系统分类。 - 分岔: 当规则
f(x)依赖于某个参数a(比如f_a(x) = a * x * (1 - x))时,随着a的变化,系统的长期行为(吸引子的类型、数量、稳定性)会发生突然的、戏剧性的变化。这就像调节一个旋钮,系统性质突然“跃变”了。
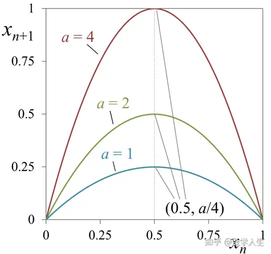
一个著名的例子:Logistic Map(逻辑斯蒂映射)

规则极其简单:f(x) = r * x * (1 - x)。其中 x 在 [0, 1] 区间内(比如可以代表种群数量占环境最大承载量的比例),r 是一个参数(比如代表繁殖率)。

- 当
r比较小(比如r=2)时:几乎所有初始点的轨道都趋向于一个稳定的不动点。种群数量最终稳定在一个固定值。 - 当
r增大一些(比如r=3.2)时:不动点失稳,出现一个稳定的周期2轨道。种群数量开始呈现“大小年”交替振荡。 - 当
r继续增大(比如r=3.5)时:周期2失稳,出现稳定的周期4轨道。振荡模式变得更复杂。 - 当
r增大到某个临界值(约r≈3.57)以上:系统进入混沌区!轨道看起来是随机的(虽然由完全确定的规则产生),永不重复,对初始条件极其敏感。种群数量变化变得不可长期预测。在这个区域里,还能发现一些“窗口”,其中又会出现稳定的周期轨道(比如周期3)。 - 当
r=4时:混沌行为充满整个区间[0, 1],并且轨道点会稠密地分布在整个区间。

这个简单的二次函数,仅仅通过改变一个参数 r,就展现了从稳定、周期振荡到混沌的几乎所有一维动力系统的典型行为!它是一维动力系统研究的“明星模型”。

一维动力系统研究的是点在一条线(直线段或圆圈)上,按照一个确定的规则 f(x) 一步步移动的长期行为。它关注点最终会去哪里(吸引子)、是否会周期性重复、是否对起点极其敏感(混沌),以及当规则参数变化时行为如何突变(分岔)。虽然空间结构简单,但它能产生极其丰富和复杂的动力学现象,是理解更复杂系统的基础,并且在简化模型中描述了许多自然和社会现象。Logistic Map 是展示一维动力系统魅力最经典的例子。






























































































